Forest classification (Complete)

In this code along, we will

We will use tidyverse and tidymodels for data exploration and modeling, respectively, and the forested package for the data.

Warning: package 'ggplot2' was built under R version 4.4.3
Warning: package 'tibble' was built under R version 4.4.3
Warning: package 'purrr' was built under R version 4.4.3
Warning: package 'lubridate' was built under R version 4.4.3
Warning: package 'tidymodels' was built under R version 4.4.3
Warning: package 'broom' was built under R version 4.4.3
Warning: package 'dials' was built under R version 4.4.3
Warning: package 'scales' was built under R version 4.4.3
Warning: package 'infer' was built under R version 4.4.3
Warning: package 'modeldata' was built under R version 4.4.3
Warning: package 'parsnip' was built under R version 4.4.3
Warning: package 'recipes' was built under R version 4.4.3
Warning: package 'rsample' was built under R version 4.4.3
Warning: package 'tune' was built under R version 4.4.3
Warning: package 'workflows' was built under R version 4.4.3
Warning: package 'workflowsets' was built under R version 4.4.3
Warning: package 'yardstick' was built under R version 4.4.3
Warning: package 'forested' was built under R version 4.4.3

Remember from the video that the forested dataset contains information on whether a plot is forested (Yes) or not (No) as well as numerical and categorical features of that plot.

glimpse(forested)
Rows: 7,107
Columns: 19
$ forested         <fct> Yes, Yes, No, Yes, Yes, Yes, Yes, Yes, Yes, Yes, Yes,…
$ year             <dbl> 2005, 2005, 2005, 2005, 2005, 2005, 2005, 2005, 2005,…
$ elevation        <dbl> 881, 113, 164, 299, 806, 736, 636, 224, 52, 2240, 104…
$ eastness         <dbl> 90, -25, -84, 93, 47, -27, -48, -65, -62, -67, 96, -4…
$ northness        <dbl> 43, 96, 53, 34, -88, -96, 87, -75, 78, -74, -26, 86, …
$ roughness        <dbl> 63, 30, 13, 6, 35, 53, 3, 9, 42, 99, 51, 190, 95, 212…
$ tree_no_tree     <fct> Tree, Tree, Tree, No tree, Tree, Tree, No tree, Tree,…
$ dew_temp         <dbl> 0.04, 6.40, 6.06, 4.43, 1.06, 1.35, 1.42, 6.39, 6.50,…
$ precip_annual    <dbl> 466, 1710, 1297, 2545, 609, 539, 702, 1195, 1312, 103…
$ temp_annual_mean <dbl> 6.42, 10.64, 10.07, 9.86, 7.72, 7.89, 7.61, 10.45, 10…
$ temp_annual_min  <dbl> -8.32, 1.40, 0.19, -1.20, -5.98, -6.00, -5.76, 1.11, …
$ temp_annual_max  <dbl> 12.91, 15.84, 14.42, 15.78, 13.84, 14.66, 14.23, 15.3…
$ temp_january_min <dbl> -0.08, 5.44, 5.72, 3.95, 1.60, 1.12, 0.99, 5.54, 6.20…
$ vapor_min        <dbl> 78, 34, 49, 67, 114, 67, 67, 31, 60, 79, 172, 162, 70…
$ vapor_max        <dbl> 1194, 938, 754, 1164, 1254, 1331, 1275, 944, 892, 549…
$ canopy_cover     <dbl> 50, 79, 47, 42, 59, 36, 14, 27, 82, 12, 74, 66, 83, 6…
$ lon              <dbl> -118.6865, -123.0825, -122.3468, -121.9144, -117.8841…
$ lat              <dbl> 48.69537, 47.07991, 48.77132, 45.80776, 48.07396, 48.…
$ land_type        <fct> Tree, Tree, Tree, Tree, Tree, Tree, Non-tree vegetati…

Spending your data

Split your data into testing and training in a reproducible manner and display the split object.

set.seed(1234)
forested_split <- initial_split(forested)
forested_split
<Training/Testing/Total>
<5330/1777/7107>

What percent of the original forested data is allocated to training and what percent to testing? Compare your response to your neighbor’s. Are the percentages roughly consistent? What determines this in the initial_split()? How would the code need to be updated to allocate 80% of the data to training and the remaining 20% to testing?

# training percentage
5330 / 7107
[1] 0.7499648
# testing percentage
1770 / 7107
[1] 0.2490502

Roughly 75% of the data is allocated to training and the remaining 25% to testing. This is because the prop argument in initial_split() is 3/4 by default. The code would need to be updated as follows for a 80%/20% split:

# split 80-20
set.seed(1234)
initial_split(forested, prop = 0.8)
<Training/Testing/Total>
<5685/1422/7107>
# training percentage
5685 / 7107
[1] 0.7999156
# testing percentage
1422 / 7107
[1] 0.2000844

Let’s stick with the default split and save our testing and training data.

forested_train <- training(forested_split)
forested_test <- testing(forested_split)

Exploratory data analysis

Create a visualization that explores the relationship between the outcome, one numerical predictor, and one categorical predictor. Then, describe, in a few sentences, what the visualization shows about the relationship between these variables.

Note: Pay attention to which dataset you use for your exploration.

ggplot(
  forested_train,
  aes(x = temp_annual_mean, fill = forested, group = forested)
  ) +
  geom_histogram(position = "identity", alpha = 0.7) +
  scale_fill_manual(values = c("Yes" = "forestgreen", "No" = "gold2")) +
  facet_wrap(~land_type, ncol = 1) +
  theme_minimal()
`stat_bin()` using `bins = 30`. Pick better value with `binwidth`.

Regardless of land type, typical mean annual temperatures in non-forested areas are higher than typical mean annual temperatures in forested areas. The shape of the distribution of mean annual temperatures does not seem to vary by land type or forestation.

Model 1: Custom choice of predictors

Fit

Fit a model for classifying plots as forested or not based on a subset of predictors of your choice. Name the model forested_custom_fit and display a tidy output of the model.

forested_custom_fit <- logistic_reg() |>
  fit(forested ~ elevation + tree_no_tree + lat + lon + temp_annual_mean, data = forested_train)
tidy(forested_custom_fit)
# A tibble: 6 × 5
  term                 estimate std.error statistic   p.value
  <chr>                   <dbl>     <dbl>     <dbl>     <dbl>
1 (Intercept)         48.2       6.06         7.96  1.71e- 15
2 elevation           -0.000311  0.000384    -0.811 4.17e-  1
3 tree_no_treeNo tree  3.35      0.0925      36.3   4.02e-288
4 lat                 -0.313     0.0642      -4.87  1.09e-  6
5 lon                  0.311     0.0288      10.8   3.81e- 27
6 temp_annual_mean     0.270     0.0819       3.30  9.78e-  4

Predict

Predict for the testing data using this model.

forested_custom_aug <- augment(forested_custom_fit, new_data = forested_test)
forested_custom_aug
# A tibble: 1,777 × 22
   .pred_class .pred_Yes .pred_No forested  year elevation eastness northness
   <fct>           <dbl>    <dbl> <fct>    <dbl>     <dbl>    <dbl>     <dbl>
 1 Yes            0.877    0.123  Yes       2005       113      -25        96
 2 Yes            0.829    0.171  Yes       2005       736      -27       -96
 3 Yes            0.855    0.145  Yes       2005       224      -65       -75
 4 Yes            0.957    0.0431 Yes       2003      1031      -49        86
 5 Yes            0.728    0.272  No        2005      1713      -66        75
 6 Yes            0.982    0.0175 Yes       2014      1612       30       -95
 7 No             0.0765   0.924  No        2014       507       44       -89
 8 Yes            0.889    0.111  Yes       2014       940      -93        35
 9 Yes            0.659    0.341  No        2014       246       22       -97
10 No             0.0877   0.912  No        2014       419       86       -49
# ℹ 1,767 more rows
# ℹ 14 more variables: roughness <dbl>, tree_no_tree <fct>, dew_temp <dbl>,
#   precip_annual <dbl>, temp_annual_mean <dbl>, temp_annual_min <dbl>,
#   temp_annual_max <dbl>, temp_january_min <dbl>, vapor_min <dbl>,
#   vapor_max <dbl>, canopy_cover <dbl>, lon <dbl>, lat <dbl>, land_type <fct>

Evaluate

Calculate the false positive and false negative rates for the testing data using this model.

forested_custom_aug |>
  count(.pred_class, forested) |>
  arrange(forested) |>
  group_by(forested) |>
  mutate(
    p = round(n / sum(n), 2),
    decision = case_when(
      .pred_class == "Yes" & forested == "Yes" ~ "True positive",
      .pred_class == "Yes" & forested == "No" ~ "False positive",
      .pred_class == "No" & forested == "Yes" ~ "False negative",
      .pred_class == "No" & forested == "No" ~ "True negative"
    )
  )
# A tibble: 4 × 5
# Groups:   forested [2]
  .pred_class forested     n     p decision      
  <fct>       <fct>    <int> <dbl> <chr>         
1 Yes         Yes        864  0.9  True positive 
2 No          Yes         98  0.1  False negative
3 Yes         No         124  0.15 False positive
4 No          No         691  0.85 True negative 

Another commonly used display of this information is a confusion matrix. Create this using the conf_mat() function. You will need to review the documentation for the function to determine how to use it.

conf_mat(
  forested_custom_aug, 
  truth = forested, 
  estimate = .pred_class
)
          Truth
Prediction Yes  No
       Yes 864 124
       No   98 691

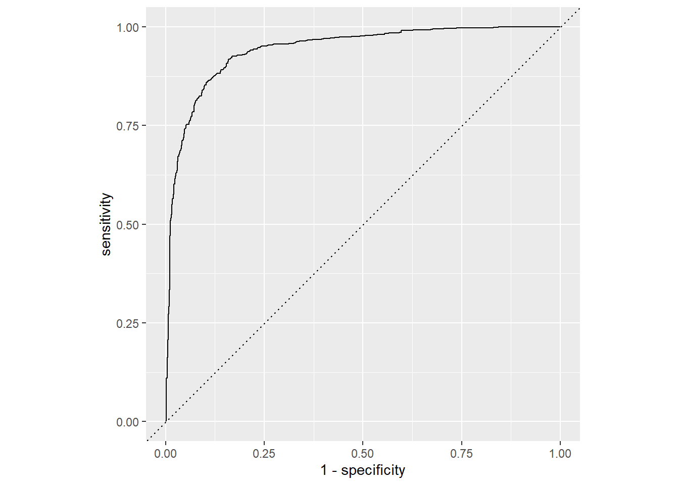
Sensitivity, specificity, ROC curve

Calculate sensitivity and specificity and draw the ROC curve.

forested_custom_roc <- roc_curve(forested_custom_aug, truth = forested, .pred_Yes)
forested_custom_roc
# A tibble: 1,779 × 3
   .threshold specificity sensitivity
        <dbl>       <dbl>       <dbl>
 1  -Inf          0                 1
 2     0.0186     0                 1
 3     0.0202     0.00123           1
 4     0.0204     0.00245           1
 5     0.0207     0.00368           1
 6     0.0227     0.00491           1
 7     0.0286     0.00613           1
 8     0.0298     0.00736           1
 9     0.0299     0.00859           1
10     0.0300     0.00982           1
# ℹ 1,769 more rows
ggplot(forested_custom_roc, aes(x = 1 - specificity, y = sensitivity)) +
  geom_path() +
  geom_abline(lty = 3) +
  coord_equal()

Model 2: All predictors

Fit

Fit a model for classifying plots as forested or not based on all predictors available. Name the model forested_full_fit and display a tidy output of the model.

forested_full_fit <- logistic_reg() |>
  fit(forested ~ ., data = forested_train)
tidy(forested_full_fit)
# A tibble: 20 × 5
   term                             estimate std.error statistic  p.value
   <chr>                               <dbl>     <dbl>     <dbl>    <dbl>
 1 (Intercept)                  -12.1        32.6       -0.371   7.11e- 1
 2 year                           0.00456     0.0152     0.299   7.65e- 1
 3 elevation                     -0.00277     0.000639  -4.33    1.47e- 5
 4 eastness                      -0.000910    0.000734  -1.24    2.15e- 1
 5 northness                      0.00208     0.000745   2.79    5.26e- 3
 6 roughness                     -0.00399     0.00146   -2.73    6.29e- 3
 7 tree_no_treeNo tree            1.25        0.136      9.23    2.61e-20
 8 dew_temp                      -0.125       0.176     -0.712   4.76e- 1
 9 precip_annual                 -0.0000895   0.000100  -0.895   3.71e- 1
10 temp_annual_mean              -7.30       12.4       -0.587   5.57e- 1
11 temp_annual_min                0.819       0.103      7.93    2.20e-15
12 temp_annual_max                2.59        6.22       0.417   6.77e- 1
13 temp_january_min               3.34        6.21       0.538   5.91e- 1
14 vapor_min                      0.00000990  0.00353    0.00280 9.98e- 1
15 vapor_max                      0.00925     0.00132    7.00    2.62e-12
16 canopy_cover                  -0.0446      0.00366  -12.2     4.18e-34
17 lon                           -0.0953      0.0559    -1.71    8.80e- 2
18 lat                            0.0748      0.109      0.683   4.94e- 1
19 land_typeNon-tree vegetation  -0.735       0.282     -2.61    9.05e- 3
20 land_typeTree                 -1.58        0.297     -5.33    9.93e- 8

Predict

Predict for the testing data using this model.

forested_full_aug <- augment(forested_full_fit, new_data = forested_test)
forested_full_aug
# A tibble: 1,777 × 22
   .pred_class .pred_Yes .pred_No forested  year elevation eastness northness
   <fct>           <dbl>    <dbl> <fct>    <dbl>     <dbl>    <dbl>     <dbl>
 1 Yes            0.930    0.0700 Yes       2005       113      -25        96
 2 Yes            0.918    0.0822 Yes       2005       736      -27       -96
 3 No             0.428    0.572  Yes       2005       224      -65       -75
 4 Yes            0.972    0.0280 Yes       2003      1031      -49        86
 5 Yes            0.633    0.367  No        2005      1713      -66        75
 6 Yes            0.980    0.0201 Yes       2014      1612       30       -95
 7 No             0.0436   0.956  No        2014       507       44       -89
 8 Yes            0.845    0.155  Yes       2014       940      -93        35
 9 No             0.0141   0.986  No        2014       246       22       -97
10 No             0.0386   0.961  No        2014       419       86       -49
# ℹ 1,767 more rows
# ℹ 14 more variables: roughness <dbl>, tree_no_tree <fct>, dew_temp <dbl>,
#   precip_annual <dbl>, temp_annual_mean <dbl>, temp_annual_min <dbl>,
#   temp_annual_max <dbl>, temp_january_min <dbl>, vapor_min <dbl>,
#   vapor_max <dbl>, canopy_cover <dbl>, lon <dbl>, lat <dbl>, land_type <fct>

Evaluate

Calculate the false positive and false negative rates for the testing data using this model.

forested_full_aug |>
  count(.pred_class, forested) |>
  arrange(forested) |>
  group_by(forested) |>
  mutate(
    p = round(n / sum(n), 2),
    decision = case_when(
      .pred_class == "Yes" & forested == "Yes" ~ "True positive",
      .pred_class == "Yes" & forested == "No" ~ "False positive",
      .pred_class == "No" & forested == "Yes" ~ "False negative",
      .pred_class == "No" & forested == "No" ~ "True negative"
    )
  )
# A tibble: 4 × 5
# Groups:   forested [2]
  .pred_class forested     n     p decision      
  <fct>       <fct>    <int> <dbl> <chr>         
1 Yes         Yes        876  0.91 True positive 
2 No          Yes         86  0.09 False negative
3 Yes         No          85  0.1  False positive
4 No          No         730  0.9  True negative 

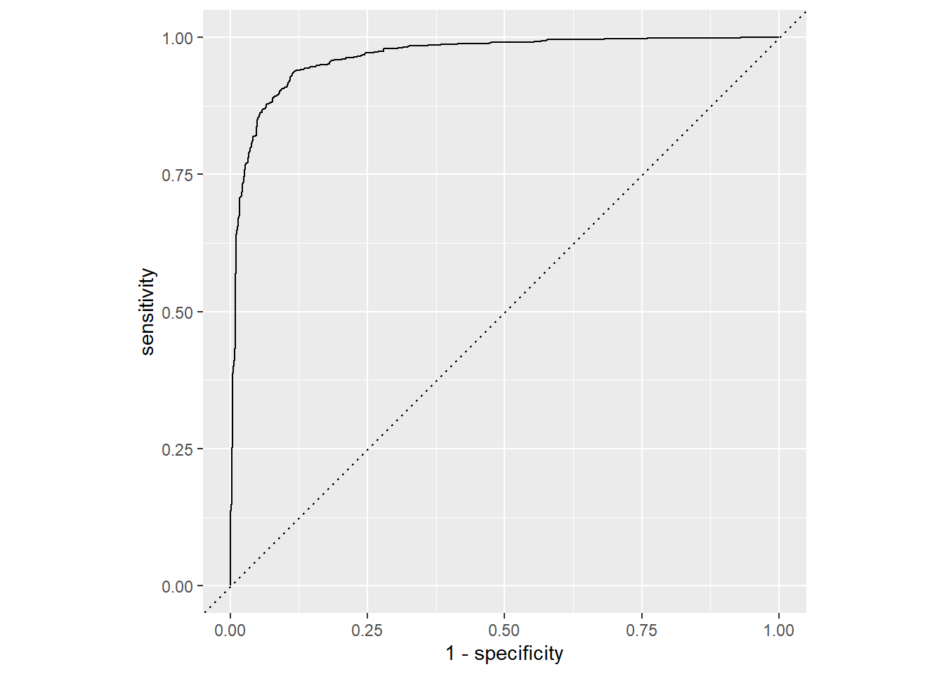
Sensitivity, specificity, ROC curve

Calculate sensitivity and specificity and draw the ROC curve.

forested_full_roc <- roc_curve(forested_full_aug, truth = forested, .pred_Yes)
forested_full_roc
# A tibble: 1,779 × 3
   .threshold specificity sensitivity
        <dbl>       <dbl>       <dbl>
 1 -Inf           0                 1
 2    0.00106     0                 1
 3    0.00107     0.00123           1
 4    0.00217     0.00245           1
 5    0.00287     0.00368           1
 6    0.00290     0.00491           1
 7    0.00290     0.00613           1
 8    0.00309     0.00736           1
 9    0.00321     0.00859           1
10    0.00323     0.00982           1
# ℹ 1,769 more rows
ggplot(forested_full_roc, aes(x = 1 - specificity, y = sensitivity)) +
  geom_path() +
  geom_abline(lty = 3) +
  coord_equal()

Model 1 vs. Model 2

Plot both ROC curves and articulate how you would use them to compare these models.

forested_custom_roc <- forested_custom_roc |>
  mutate(model = "Custom")
forested_full_roc <- forested_full_roc |>
  mutate(model = "Full")
bind_rows(
  forested_custom_roc,
  forested_full_roc
) |>
  ggplot(aes(x = 1 - specificity, y = sensitivity, color = model)) +
  geom_path() +
  geom_abline(lty = 3) +
  coord_equal()