Modeling and inference
The U.S. Forest Service maintains machine learning models to predict whether a plot of land is “forested.”
This classification is important for research, legislation, land management, etc. purposes.
Plots are typically remeasured every 10 years.
The forested dataset contains the most recent measurement per plot.
forested
# A tibble: 7,107 × 19
forested year elevation eastness northness roughness
<fct> <dbl> <dbl> <dbl> <dbl> <dbl>
1 Yes 2005 881 90 43 63
2 Yes 2005 113 -25 96 30
3 No 2005 164 -84 53 13
4 Yes 2005 299 93 34 6
5 Yes 2005 806 47 -88 35
6 Yes 2005 736 -27 -96 53
7 Yes 2005 636 -48 87 3
8 Yes 2005 224 -65 -75 9
9 Yes 2005 52 -62 78 42
10 Yes 2005 2240 -67 -74 99
# ℹ 7,097 more rows
# ℹ 13 more variables: tree_no_tree <fct>, dew_temp <dbl>,
# precip_annual <dbl>, temp_annual_mean <dbl>,
# temp_annual_min <dbl>, temp_annual_max <dbl>,
# temp_january_min <dbl>, vapor_min <dbl>,
# vapor_max <dbl>, canopy_cover <dbl>, lon <dbl>,
# lat <dbl>, land_type <fct>
forested
Rows: 7,107
Columns: 19
$ forested <fct> Yes, Yes, No, Yes, Yes, Yes, Yes,…
$ year <dbl> 2005, 2005, 2005, 2005, 2005, 200…
$ elevation <dbl> 881, 113, 164, 299, 806, 736, 636…
$ eastness <dbl> 90, -25, -84, 93, 47, -27, -48, -…
$ northness <dbl> 43, 96, 53, 34, -88, -96, 87, -75…
$ roughness <dbl> 63, 30, 13, 6, 35, 53, 3, 9, 42, …
$ tree_no_tree <fct> Tree, Tree, Tree, No tree, Tree, …
$ dew_temp <dbl> 0.04, 6.40, 6.06, 4.43, 1.06, 1.3…
$ precip_annual <dbl> 466, 1710, 1297, 2545, 609, 539, …
$ temp_annual_mean <dbl> 6.42, 10.64, 10.07, 9.86, 7.72, 7…
$ temp_annual_min <dbl> -8.32, 1.40, 0.19, -1.20, -5.98, …
$ temp_annual_max <dbl> 12.91, 15.84, 14.42, 15.78, 13.84…
$ temp_january_min <dbl> -0.08, 5.44, 5.72, 3.95, 1.60, 1.…
$ vapor_min <dbl> 78, 34, 49, 67, 114, 67, 67, 31, …
$ vapor_max <dbl> 1194, 938, 754, 1164, 1254, 1331,…
$ canopy_cover <dbl> 50, 79, 47, 42, 59, 36, 14, 27, 8…
$ lon <dbl> -118.6865, -123.0825, -122.3468, …
$ lat <dbl> 48.69537, 47.07991, 48.77132, 45.…
$ land_type <fct> Tree, Tree, Tree, Tree, Tree, Tre…
forested
[1] "forested" "year"
[3] "elevation" "eastness"
[5] "northness" "roughness"
[7] "tree_no_tree" "dew_temp"
[9] "precip_annual" "temp_annual_mean"
[11] "temp_annual_min" "temp_annual_max"
[13] "temp_january_min" "vapor_min"
[15] "vapor_max" "canopy_cover"
[17] "lon" "lat"
[19] "land_type"
forested - Factor, Yes or No
Predictors: 18 remotely-sensed and easily-accessible variables:
numeric variables based on weather and topography
categorical variables based on classifications from other governmental organizations
?forestedTo determine whether we should include a predictor in a model, we should start by asking:
Is it ethical to use this variable? (Or even legal?)
Will this variable be available at prediction time?
Does this variable contribute to explainability?
So far, we’ve been using all the data we have for building models. In predictive contexts, this would be considered cheating.
Evaluating model performance for predicting outcomes that were used when building the models is like evaluating your learning with questions whose answers you’ve already seen.
For predictive models (used primarily in machine learning), we typically split data into training and test sets:

The training set is used to estimate model parameters.
The test set is used to find an independent assessment of model performance.
Warning
Do not use, or even peek at, the test set during training.
The more data we spend (use in training), the better estimates we’ll get.
Spending too much data in training prevents us from computing a good assessment of predictive performance.
Spending too much data in testing prevents us from computing a good estimate of model parameters.
The default split is 75% training, 25% testing.
What does set.seed() do?
To create that split of the data, R generates “pseudo-random” numbers: while they are made to behave like random numbers, their generation is deterministic given a “seed”.
This allows us to reproduce results by setting that seed.
Which seed you pick doesn’t matter, as long as you don’t try a bunch of seeds and pick the one that gives you the best performance.
# A tibble: 5,330 × 19
forested year elevation eastness northness roughness
<fct> <dbl> <dbl> <dbl> <dbl> <dbl>
1 Yes 2013 315 -17 98 92
2 No 2018 374 93 -34 23
3 No 2017 377 44 -89 1
4 Yes 2013 541 31 -94 139
5 Yes 2017 680 14 -98 20
6 Yes 2017 1482 76 -64 43
7 No 2020 84 42 -90 12
8 Yes 2011 210 34 93 16
9 No 2020 766 14 98 20
10 Yes 2013 1559 98 16 79
# ℹ 5,320 more rows
# ℹ 13 more variables: tree_no_tree <fct>, dew_temp <dbl>,
# precip_annual <dbl>, temp_annual_mean <dbl>,
# temp_annual_min <dbl>, temp_annual_max <dbl>,
# temp_january_min <dbl>, vapor_min <dbl>,
# vapor_max <dbl>, canopy_cover <dbl>, lon <dbl>,
# lat <dbl>, land_type <fct>
🙈
What’s the distribution of the outcome, forested?
What’s the distribution of numeric variables like precip_annual?
How does the distribution of forested differ across the categorical and numerical variables?
Which dataset should we use for the exploration? The entire data forested, the training data forested_train, or the testing data forested_test?
forestedWhat’s the distribution of the outcome, forested?
precip_annualWhat’s the distribution of precip_annual?
forested and precip_annual
forested and precip_annual
forested and tree_no_tree
forested and lat / lon
False negative rate is the proportion of actual positives that were classified as negatives.
False positive rate is the proportion of actual negatives that were classified as positives.
Sensitivity is the proportion of actual positives that were correctly classified as positive.
Also known as true positive rate and recall
Sensitivity = 1 − False negative rate
Useful when false negatives are more “expensive” than false positives
Specificity is the proportion of actual negatives that were correctly classified as negative
Also known as true negative rate
Specificity = 1 − False positive rate
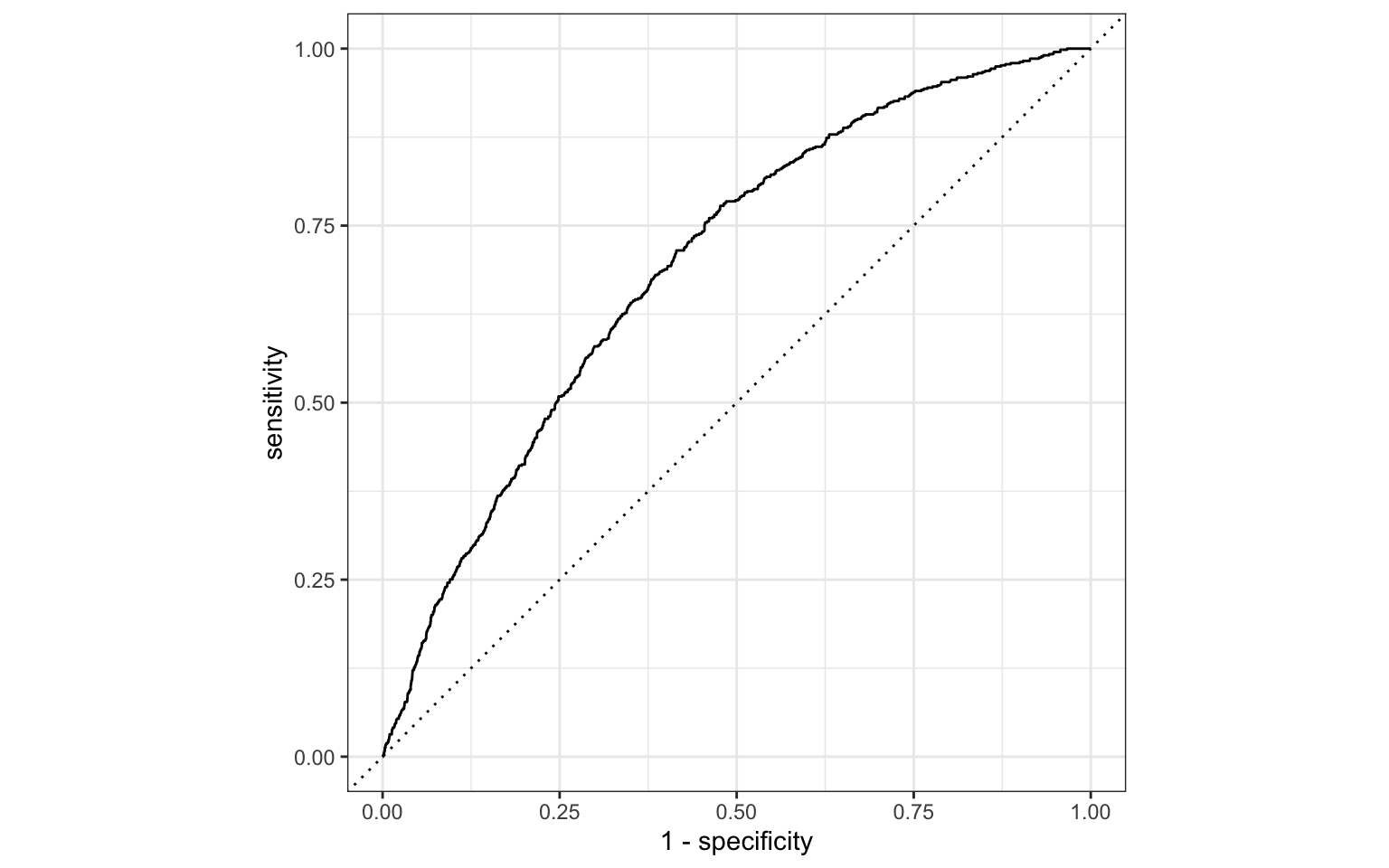
The receiver operating characteristic (ROC) curve allows to assess the model performance across a range of thresholds.

Which corner of the plot indicates the best model performance?

Fit models on training data
Make predictions on testing data
Evaluate predictions on testing data:
Make decisions based on model predictive performance, validity across various testing/training splits (aka “cross validation”), explainability